Gardening in California: Tips for Dry Climates
Learn how to grow a thriving garden in California’s dry Mediterranean climate. Discover water-saving techniques, soil-building tips, and permaculture strategies for long-term success.
2/13/202512 min read
Gardening in California:
Tips for Dry Climates
Disclaimer
This post contains some affiliate links. The small commission we receive if you choose to purchase goes towards making this gardening education available for free! We do not affiliate for anything we do not personally use. Thanks so much for your support!
Click the video above for the audio/visual version

👉 What's Inside This California Gardening Guide:


Why Gardening in California Is So Challenging
California's climate is generally called "Mediterranean." Yet it ranges across the state from the hot deserts, as in the case of Death Valley, to the sub-artic, dry, mountain regions of Western California.
But what does a Mediterranean climate consist of and why is it harder to garden in California than in other parts of the United States?


A Mediterranean climate is characterized by dry summers and wet winters. These particular climates can be found on
coasts that have a large body of water to their west and
are found in latitudes between 30-45 degrees North and South of the equator


What a MediterraneanClimate Really Means


Global “Climate Analogues”
In permaculture and ecology, places that share similar climates are known as climate analogues—meaning one place is analogous to another in terms of weather patterns and growing conditions.
This concept is incredibly useful: by identifying regions around the world with climates similar to your own, you can discover what grows well there and apply those insights to your own garden.


Examples of these aside from California are the Mediterranean coasts, South Africa, Chile, and the Western part of Australia.
We often hear, "It never rains in Southern California. " But the truth is that it never rains in Southern California during the summer.
California's climate is characterized by the presence of the South Pacific High-Pressure Zone. And that is primarily due to the North Pacific Subtropical High-Pressure System (pictured below), which I'll refer to from now on as the North Pacific High.


Understanding California’s Climate Zones
The role of the North Pacific High & Aleutian Low
This semi-permanent high-pressure zone acts like a buffer, blocking most incoming storms during the warmer months. As a result, Southern California experiences prolonged dry periods in summer and fall.
In winter, however, the North Pacific High shifts, making way for the Aleutian Low, a low-pressure system that allows rain—and sometimes even snow—to reach the region
Timing the "sweet spot" for growth
It’s easy to think that gardening in California is a losing battle — but that’s not quite fair. After all, 69% of America’s total fruit and vegetable production comes from California. Nature isn’t fighting us. She’s simply inviting us to work with her, not against her.
In California, your best growing season isn’t the long, lazy summer most gardeners dream of. It’s the winter and early spring, when the rain falls and the soil still remembers how to be generous. There's a short "sweet spot" — a brief window when warmth and moisture line up on your side. Miss it, and you’ll be left trying to coax life from a hot, dry ground that has little to give.
Because of the long dry season, Californian soil has a harder time building fertility. Plants don’t break down as quickly, and the land — especially around the coastal sage — stays rocky, dry, and often alkaline. Think shale and dust, not rich black earth.
But don’t lose heart. Nature has already solved the problem. She’s stocked the shelves with plants that are made for this climate: hardy herbs like sage, rosemary, and thyme, and fruit trees like pomegranate and pear. Grow what belongs here, and you'll find California gardens are not a battle — they're an invitation. See below for what California things to grow!


What to Grow in California
🥕 Edible Plants for Mediterranean Climates
Herbs
(The following thrive in poor soils, drought-tolerant once established)
Rosemary
Thyme
Sage
Oregano
Marjoram
Lavender (edible flowers, culinary varieties)
Bay Laurel (for bay leaves)
Mint (needs some summer water)
Summer Savory
Coriander/Cilantro (best grown fall–spring)
Parsley (fall–spring)
Fruit Trees and Shrubs
(especially drought-tolerant or adapted to dry conditions)
Pomegranate
Fig
Olive
Almond
Pear (especially European varieties)
Quince
Apricot
Loquat
Mulberry
Grapes (especially wine grapes)
Jujube (Chinese date — extremely hardy)
Vegetables
(many prefer cooler seasons in Mediterranean areas)
Artichoke
Fava Beans
Garbanzo Beans (Chickpeas)
Kale
Chard
Lettuce (best in fall–spring)
Cabbage
Broccoli
Cauliflower
Beets
Carrots
Radishes
Peas (snap peas, snow peas)
Tomatoes (but need careful summer watering)
🧠 Tip: In Mediterranean climates, grow leafy greens and root crops during the rainy cool season, and plant heat-loving crops (tomatoes, melons, peppers) only when you can provide extra water!
🌸 Non-Edible (but Useful and Beautiful) Plants
Pollinator-Friendly Flowers
California Poppy
Lavender
Yarrow
Salvia (ornamental sages)
Echinacea
Gaillardia (Blanket Flower)
Nitrogen Fixers
Lupine (wild lupines in particular)
Clover (Crimson, White)
Acacia (some small shrubby types)
🌳 Trees for Shade and Structure
Carob
Cork Oak
Italian Stone Pine
Aleppo Pine
Mediterranean Cypress
Pro Tip:
Think plants with tough leaves, deep roots, small fruits, or aromatic oils — these are nature’s ways of helping them survive heat and drought!
Given this backdrop of the California climate, it is interesting to note that California gardens on a mere 10% of its total land area but uses a whopping 80% of its water! That's down from its state-water use in the 1960s which was at 90%.


Water-Wise Gardening Techniques
Brad Lancaster, author of Rainwater Harvesting for Drylands is famous for promoting passive water capture in arid climates such as his hometown of Arizona. In the following video, he shows us how he has retrofitted his house using low-tech solutions. He passively captures greywater and water from his roof into vegetative systems around his homestead and teaches others to do the same on their properties.


Capture water passively, especially during the wintertime
Prepare to capture rain during late fall through spring. And when it does rain, make sure to channel that water to your growing spaces
Mulching: chop & drop, straw, leaves
Mulching is essential, especially in drylands. Never leave your soil exposed so that it loses what little moisture it receives. Mulching reduces the need for watering by 25%. For gardens in California, you can mulch in a variety of ways. Here are some methods:
We sometimes buy straw (and haul it in our minivan) to mulch our garden beds, but more often we chop and drop our own trimmings or gather leaves from neighbors (they’re usually happy to share!).


🟢 Chop and Drop
Cut back healthy plant material and drop it right onto the soil—leaves, stems, trimmings—unless the plant is diseased. This is one of the simplest ways to mulch and feed your soil at the same time.
🟢 Straw, Hay, Leaves & Grass Clippings
You can also use dried yard waste like straw, fallen leaves, or grass clippings. Just remember to compost weeds separately—they’ll break down better there and won’t reseed in your beds. And remember, it’s always better to have weeds than bare soil.


⚠️ Note: Don’t confuse accumulators with weeds you’re trying to eliminate. Pull invasive weeds up by the root, and don’t drop them back into your bed unless they’re fully composted first. That said, weeds are still better than bare soil—so if they’re not invasive, let them cover and protect the ground.
Growing plants as mulch is another to go about the business of ground covering. These living mulches protect the ground longer and prevent evaporation.
Choose perennial ground covers like creeping thyme, strawberries, or sedum to keep soil covered year-round. Or use cover crops—like alfalfa, clover, buckwheat, or peas—to rejuvenate soil during the off-season.
These cover crops not only reduce evaporation and erosion, they’re also nitrogen-fixers that restore fertility after growing heavy feeders like tomatoes or corn.

For best results, lay mulch on thick! Here are a few tried-and-true methods:
🟢 Living Mulch
🟢 Bonus: Dynamic Accumulators
Some plants, known in permaculture as dynamic accumulators, act as natural fertilizers by pulling nutrients from deep in the soil and storing them in their leaves. When you chop and drop them, they feed the soil right where they grow.
🟢 Dynamic Accumulators Explained
“A dynamic accumulator is a plant that will absorb and retain, in the leaf, at least one nutrient at levels that are at least many times higher than the average plant.”
— Garden Myths
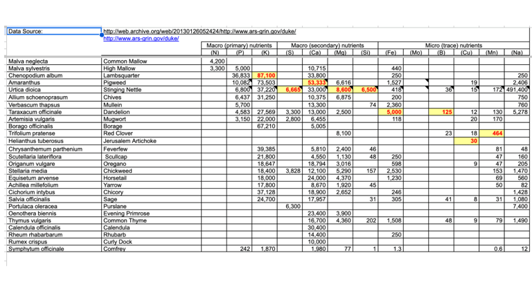
Some accumulators focus on specific nutrients. For example:
Lambsquarters draw up potassium
Pigweed specializes in calcium
Dandelion and comfrey are generalists, accumulating a broad spectrum of micro and macronutrients
Chopping and dropping these plants enriches the surrounding soil with the nutrients they've gathered.
Want to know what nutrients each plant accumulates? Dr. James Duke, a USDA botanist, compiled an extensive list of dynamic accumulators to guide your soil-building efforts.
Building Healthy, Resilient Soil
If you are just starting to grow your food and want to build a garden bed you can ensure that the soil building process occurs over time, you can do "lasagna gardening." soil by building your gardens in layers. These layers break down over time and increase the natural fertility of your soil while keeping the weeds at bay.


We’ve talked about mulching with dried clippings, straw, or leaves—but don’t forget to compost your weeds separately! Over time, weather and decomposition will break these materials down and build up your soil’s nutrient profile.
Composting
We believe that composting is such an essential part of a permaculture garden that we have a dedicated blog entitled Compost in Your Garden, wew continue to research Compost Tea and plan to explore it even more in future projects. While there are many ways to refine your composting technique, the basic rule of thumb is simple:
👉 Aim for a Carbon to Nitrogen (C:N) ratio of 25–30:1.
One mistake we’ve made before: Our family produces a lot of food scraps, and we used to throw them straight into the compost bin without adding enough carbon. But for every kitchen scrap, you really need three to four times that amount in carbon-rich material to keep your pile balanced.
One easy way to bring life into your soil is by raising the apex predator of the soil world—the red wiggler worm (Eisenia foetida). You can vermicompost in just about any container:
A plastic bin with drainage holes
A pipe drilled and sunk into the ground
An old dairy creamer
Even a discarded bathtub
As Geoff Lawton says in the worm composting video, the gut of the composting worm contains millions of beneficial bacteria—a powerful engine for soil regeneration.
Fungi
Another secret to good soil is mycorrhizal fungi. These fungi colonize the root systems of plants, helping them absorb more water and nutrients—while the plants, in turn, feed the fungi sugars from photosynthesis. You can add mycorrhizal fungi to your garden by simply sprinkling in a bit of powdered inoculant.
Some great sources of carbon include:
Fall leaves from trees
Straw or hay (after going to seed)
Paper scraps and junk mail (avoid glossy ads)
To remedy this imbalance, I often shred old schoolwork and have the kids help toss it into the bin. It works beautifully to restore balance.
🧱 Lasagna Gardening for Beginners
♻️ Composting: C:N Ratio and Home-Friendly Tips
COMPOST IS KEY TO BUILDING SOIL
🪱 Vermicomposting: Worm Bins in Tubs or Pipes
🍄 Mycorrhizal Fungi & Nitrogen-Fixing Bacteria
Introducing and Cultivating Life
Nitrogen Fixers
Some soil bacteria—like Frankia and Rhizobia—form symbiotic relationships with legume roots and can “fix” nitrogen by breaking atmospheric bonds and making nitrogen plant-available.
That’s why it’s always a good idea to include legumes in your garden, either:
As crops (peas, beans)
Or as cover crops during your garden’s resting phase
Other nitrogen-fixing plants include clovers, autumn olives, and honey locusts.

Avoiding Chemical Fertilizers


After putting so much effort into cultivating living soil, the last thing you want to do is drench it in chemical fertilizers. And yet, many gardeners still reach for them—usually for two reasons:
They believe crop fertility depends on synthetic inputs
They want a quick way to reduce weeds or pests
But chemical sprays, even if they appear helpful at first, will eventually:
Kill off your entire soil biology (earthworms, microbes, microarthropods)
Eliminate beneficial insects along with the bad ones
Encourage more weed growth in the long run
And contribute to serious human health risks, including cancer
☠️ Soil Life Destruction
Discovering the Power of Permaculture Edges
What is a "Permaculture Edge"?
Gardening in California means gardening on the edge—literally. In permaculture, an edge is the meeting point between two different environments—like where water meets land, or prairie transitions into forest.
These edges function like nature’s version of port cities: they’re rich, dynamic zones where life thrives. Species that can’t survive in just one ecosystem often flourish in these in-between spaces. Others extend their range because of the edge.
If you ask me what makes California so unique and wonderful, it is this fact: it is rare to find an example of so many ecosystem niches in one state! This rich variety of edges brings biodiversity into your garden, too.
Wherever you live, take time to observe what natural edges are present on your property.


Observing Your Local Edge Ecosystems

California also offers stunning examples of floodplain ecosystems—transitional areas that bring in moisture, nutrients, and a diverse range of species.
🎥 Watch this insightful video by Erik Ohlsen of the Permaculture Skills Center, as he explores how floodplains function and what they reveal about planting strategies.
California is full of these edge environments thanks to its overlapping ecosystems and microclimates. This is one reason the state is so biologically diverse.
🎥 Check out this marvelous video by Dr. Erica Zavaleta as she walks through 11 distinct ecosystems—from coastal dunes to mixed conifer forests.
Chaparral vs. Coastal Sage
You may find yourself nestled between coastal sage scrub and chaparral, where some drought-tolerant plants go dormant in spring.
In chaparral ecosystems, you’ll often see evergreen shrubs that have adapted to conserve nitrogen—since there’s less of it available in the soil.
Whatever edges you notice, work with the signs your plants give you. Don’t try to force a plant to thrive where it naturally struggles.
Floodplains: Where the Water Meets the Land
Final Thoughts: Work With Nature, Not Against It
Whether you're gardening in the wild edges of California or a more temperate climate elsewhere, remember this:
🌿 Every successful permaculture garden begins with observation.
Your site—your soil, your slope, your seasons—is trying to teach you something. Your job is to listen. Work with the land, not against it.
When we do that, we begin to see that everything in the garden—and in life—is deeply connected.
❓FAQs About Gardening in California
When is the best time to plant vegetables in California?
Honestly? Today’s a great day to start! You don’t need perfect timing or a big space. Try planting microgreens indoors—or join our Plant Your Pantry Challenge to discover what you can grow right now from kitchen scraps you already have. 🌱 You're welcome.
What crops grow best in California’s Mediterranean climate?
Mediterranean climates are perfect for certain herbs, fruits, and drought-tolerant vegetables.
👉 See our full list here.
How can I improve poor, rocky California soil naturally?
Start with composting. It’s the foundation of healthy, living soil.
Explore our tips on Building Healthy, Resilient Soil, or dive deeper into our full composting blog.
What’s the most water-efficient way to irrigate my California garden?
Brad Lancaster’s Rainwater Harvesting for Drylands is a must-read for dry climate gardeners.And don’t miss our tips on passive water capture in the Water-Wise Gardening section.
Can I grow fruit trees in California without a lot of water?
Yes—you absolutely can, as long as you choose drought-tolerant varieties and take steps to improve your soil’s water-holding capacity.
Start by following the tips in our Building Healthy, Resilient Soil section. Techniques like mulching, composting, and planting nitrogen fixers help fruit trees thrive even in dry conditions.
Want expert guidance on drought-proofing your garden? Watch this special training from California garden educators Kat & Emmanuel:
Intermediate Gardener
Sign Up for a
Permaculture Garden Course
Beginner Gardener
Advanced Gardener
Sign up for the
Grow-It-Yourself Program
Join the GIY Core Course and grow your first abundant backyard garden step-by-step.
Get expert help in the GIY Community to troubleshoot, plan, and thrive.
Make Your Organic Food Garden A Reality with
a garden mentor
a community
an app &
a proven plan!






Choose one next step.
Ready to Grow More? Choose One Next Step Based on Your Gardening Experience:
Permaculture Gardens - your online resource for organic & sustainable gardens.
Contact
permaculturegardens@gmail.com
Bethany Farm
41558 Stumptown Rd.,
Leesburg, VA 20176








